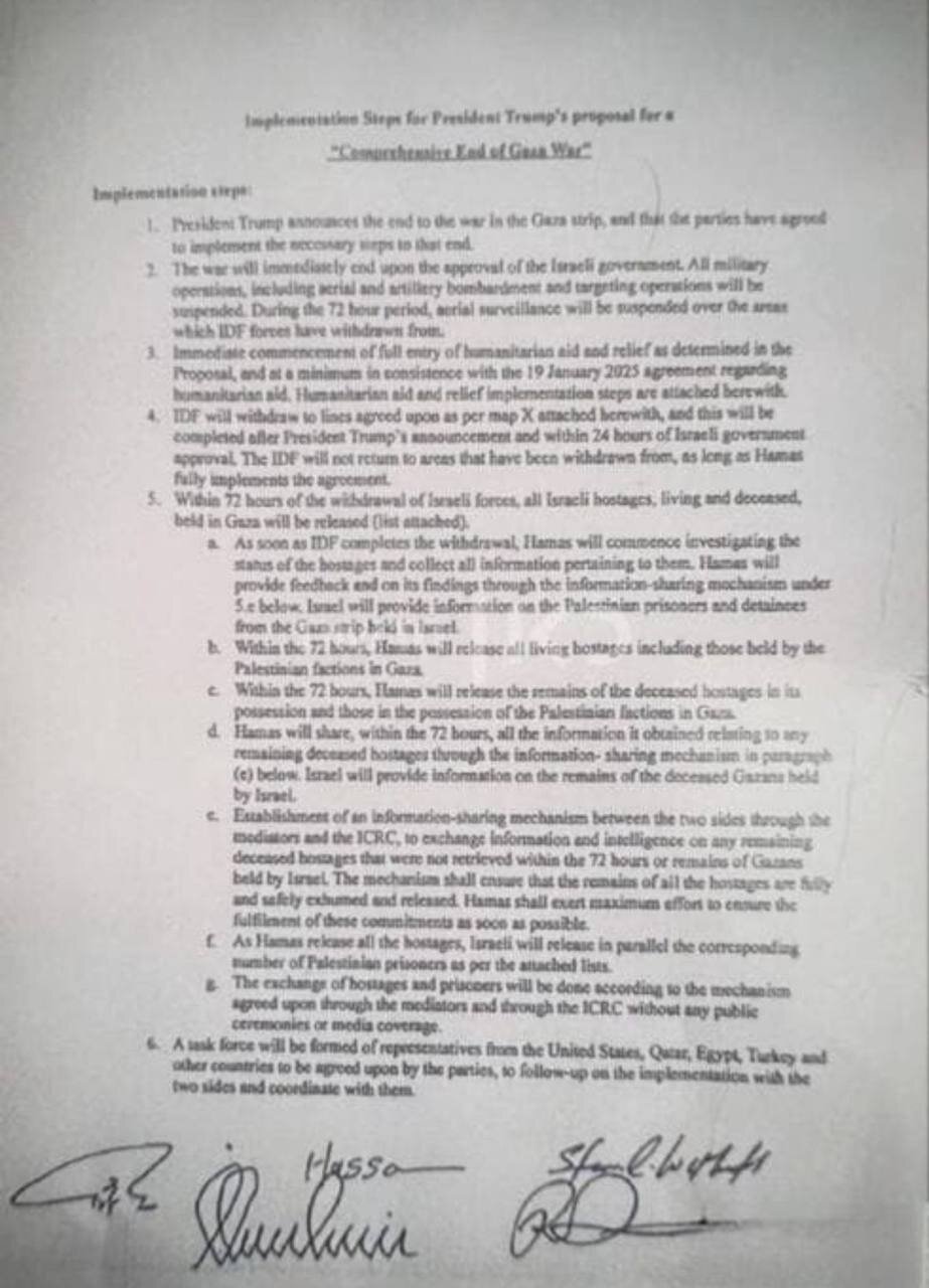
به گزارش همشهری آنلاین، در نخستین بند سند اجرایی توافقات حماس و اسرائیل آمده است: دونالد ترامپ رئیسجمهور آمریکا در گام اول اجرای توافقنامه، پایان جنگ در غزه را اعلام میکند و طرفین متعهد به اجرای اقدامات لازم میشوند.
در بند دوم سند تصریح شده است: جنگ بلافاصله پس از تأیید توافقنامه در کابینه دولت اسرائیل متوقف خواهد شد که شامل از تعلیق عملیات نظامی در غزه و توقف بمبارانها و حملات بوده و پس از ۷۲ ساعت نیز میبایست آتش بس در تمام مناطقی که ارتش اسرائیل با نظارت هوایی از آنها عقبنشینی کرده، برقرار شود.
بند سوم توافقنامه تأکید دارد: بر اساس پیشنهاد رئیسجمهور آمریکا و مشروط به توافق ۱۹ ژانویه ۲۰۲۵، بلافاصله کمکهای بشردوستانه به غزه ارسال خواهد شد.
در این بند همچنین ارتش اسرائیل موظف شده ظرف ۲۴ ساعت پس از اعلام توافق و تأیید آن در دولت، از غزه به خطوط توافق شده عقبنشینی کند و تا زمانی که حماس به توافق پایبند باشد، به این مناطق باز نخواهد گشت.

در بند ۴ توافقنامه آمده است: حماس ظرف ۷۲ ساعت پس از عقبنشینی ارتش اسرائیل، میبایست تمام اسرای اسرائیلی - زنده و مرده - را آزاد کند.
در همین راستا مقرر شده است «حماس با فوریت جمعآوری اطلاعات درباره اسرا را آغاز کرده و آن را از طریق مکانیزم اشتراکگذاری اطلاعات منتقل کند و اسرائیل هم اطلاعات خود درباره بازداشتشدگان فلسطینی از غزه را به مقامات غزه ارائه خواهد داد».
حماس همچنین متعهد شده که تمامی اسرای زنده، از جمله کسانی را که توسط گروههای دیگر نگهداری میشوند، آزاد کرده و اجساد اسرایی که در اختیار این گروه یا گروههای دیگر است، تحویل دهد.
حماس و اسرائیل در چارجوب یکی دیگر از مفاد بند چهار توافقنامه، میبایست اطلاعاتی که در خصوص اجساد اسرای دو طرف دارند، ارائه نمایند تا مکانیزم اشتراکگذاری اطلاعات برای شناسایی و بازگرداندنِ تمام اجساد از طریق واسطهها و صلیب سرخ ایجاد شود.
در تبصرههای (و) و (ز) بند ۴ متن توافقنامه منتشر شده توسط رسانه صهیونیستی تصریح شده ابتدا یاید حماس تمام اسرای اسرائیلی را آزاد کند و پس از آن زندانیان فلسطینی طبق فهرستهای توافق شده آزاد خواهند شد و فرایند مبادله، بدون هیچ مراسم و پوشش رسانهای، از طریق واسطهها و صلیب سرخ انجام میشود.
بند پنجم و آخرین بند توافقنامه نیز تصریح دارد: نیروهای بین المللی از آمریکا، قطر، مصر، ترکیه و کشورهای دیگر، بر اجرای توافق نظارت کرده و هماهنگی بین طرفین را انجام خواهد داد.
به گزارش همشهری آنلاین، توافقنامه بین سازمان حماس و رژیم صهیونیستی پس از چند روز مذاکره فشرده، روز پنجشنبه ۱۷ مهر با حضور نمایندگان آمریکا و کشورهای میانجی در شهر ساحلی شرم الشیخ امضا شد.
گام اول اجرای توافقنامه، برقرار آتشبس و خروج نیروهای اشغالگر اسرائیل از شهر غزه و تبادل اسرا ظرف ۷۲ ساعت بود که از ظهر پنجشنبه عملیاتی شد و دور بعدی مذاکرات برای پیگیری سایر پیشنهادات مندرج در طرح ترامپ، یک روز پس از مبادله اسرا، از روز دوشنبه یا سهشنبه هفتهی پیشِرو کلید میخورد.












